- A) Redresoare de precizie
- Redresoarele de precizie pot fi monoalternanta sau dubla alternanta iar
AO component poate fi saturat sau nesaturat .
-
- 1) Redresorul de precizie monoalternanta
saturat
-
Redresorul de precizie monoalternanta saturat are schema din fig.1.19
si este un circuit de tipul neinversor.
In functie de modul de conectare al diodei (ca in figura sau invers), tensiunea
de iesire poate fi pozitiva sau negativa in raport cu masa. In timpul semiperioadei
semnalului de intrare in care dioda este blocata, se intrerupe bucla de
reactie negativa si AO intra in saturatie, ceea ce constituie un dezavantaj
al acestei scheme.

In semiperioada in care dioda D conduce, redresoru se comporta liniar
ca un circuit repetor. Se pot determina : -
- a) Tensiunea de iesire a circuitului
- - pentru AO ideal :

- pentru AO real, daca se tine seama numai de influenta amplificarii in bucla deschisa :

- b) Rezistenta de intrare a redresorului
- - unde rd represinta rezistenta de intrare diferentiala a AO :

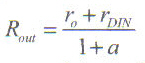
- c)Rezistenta de iesire a redresorului
- - unde r0 este rezistenta de iesire a AO iar rDIN rezistenta dinamica a diodei :

-
- 2) Redresorul de precizie monoalternanta nesaturat
- Redresorul de precizie monoalternanta nesaturat
are schema din fig.1.20 si este un circuit de tip
inversor.

In functie de modul de conectare a diodelor (ca in figura sau invers), tensiunae
de iesire poate fi negativa sau pozitiva
in raport cu masa. In timpul semiperioadei semnalului de intrare in care dioda
D1 este blocata, conduce dioda D2 si astfel tensiunea de iesire a AO devine
egala cu tensiunea de deschidere a diodei D2, valoarea acestei tensiuni fiind
mai mica decat cea a tensiunii de saturatie. -
- a) Tensiunea de iesire a circuitului
- Cand conduce dioda D1 :
- pentru AO ideal :

- pentru AO real, daca se tine seama numai de influenta amplificarii in bucla deschisa :

unde Kn este coeficientul de imperfectiuni .
- Cand conduce dioda D2, dioda D1 este blocata si tensiunea de iesire este egala cu zero.
-
- b) Rezistenta de intrare a redresorului
- - cand conduce dioda D1 :

- cand conduce dioda D2 :

-
- c)Rezistenta de iesire a redresorului
- - cand conduce dioda D1 :

unde factorul de reactie este b=1/Kn, r0 reprezinta rezistenta de iesire a AO iar rDIN1 rezistenta dinamica a diodei D1 .
- cand conduce dioda D2 :

- 3) Redresorul de precizie dubla alternanta
- Redresorul de precizie dubla alternanta
are schema din fig.1.21
si este alcatuit dintr-un redresor monoalternanta nesaturat
si un sumator inversor. In functie de modul de conectere a diodelor (ca in
figura sau invers), tensiunea de iesire poate fi pozitiva sau negativa in
raport cu masa.

- Circuitul se comporta ca un redresor dubla alternanta
daca intre valorile rezistoerelor schemei au loc relatiile :
R1 = R2 = R4 = R5 = R si R3 = R/2
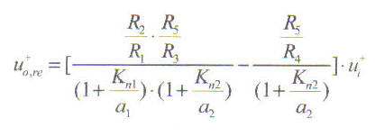
- a) tensiunea de iesire a circuitului
- Pentru ui > 0 circuitul are aspectul din fig.1.22

- pentru AO ideale :

- pentru AO reale, daca se tine seama numai de efectul valorii finite a amplificarii
in bucla deschisa si considerand coeficientii de imperfectiune egali cu: Kn1 = 1 + R2/R1 pentru AO1,
respectiv Kn2 = 1 + R5 / ( R3//R4) ; R3 paralel cu R4 in cazul lui AO2 atunci :

-
- Pentru ui < 0 circuitul are aspectul din fig.1.23

- Se observa ca rezistentele de compensare
a curentilor de polarizare a intrarilor AO au aceleasi valori ca si in
cazul alternantei pozitive a semnalului prelucrat. In acest caz uo1 =
0, astfel ca :
- pentru AO ideale

- pentru AO reale, daca se tine seama numai de efectul valorii finite a amplificarii
in bucla deschisa :

coeficientul de imperfectiuni avand expresia :

- b) Rezistenta de intrare a redresorului
- - pentru AO ideale si cu buna aproximatie si pentru cele reale Rin = R1 // R4 (R1 paralel cu R4)
-
- c) Rezistenta de iesire a redresorului

unde r0 reprezinta rezistenta de iesire a AO2. Coeficientul
de imperfectiuni se considera in functie de alternanta semnalului de intrare
( Kn sau Kn2). Pentru valori relativ mari ale amplificarii in bucla deschisa
ale AO2, rezistenta de iesire a redresorului este mica.-
- OBSERVATIE :
- Daca marimea de intrare a etajului care se conecteaza dupa redresor este un curent,
circuitul se poate simplifica utilizandu-se numai un singur AO
(fig.1.24).

-
- B) Circuitul de logaritmare
- In blocurile de logaritmare si exponentiere se folosesc AO in configuratii care exploateaza
caracterul exponential al relatiei :

unde Ut reprezinta tensiunea termica (0,026V la T = 300K) iar Is este curentul de saturatie.
- Circuitul de logaritmare are schema de principiu din
fig.1.25.a,
fiind un circuit de tip inversor. Tensiunea de iesire se scrie :
- - pentru AO ideal :

- - pentru AO real (a si rd - valori finite) :

-
- C) Circuitul de exponentiere
- Circuitul de exponentiere are schema de principiu din fig.1.25.b,
fiind un circuit de tip inversor. Tensiunea de iesire se scrie :
- pentru AO ideal :

- pentru AO real (a si rd valori finite) :

