- a) Probleme generale
- ASM sunt destinate amplificarii unor semnale
variabile de valori mici si apar in prima parte a unui lant de amplificatoare.
Pot avea unul sau mai multe etaje. Un etaj foloseste ca element ampificator
un tranzistor functionand in calsa A. Semnalul este considerat mic atunci
cand are valori mult mai mici decat valorile corespunzatoare punctului de
functionare al tranzistorului. Atunci tranzistorul are o comportare liniara
in jurul punctului de functionare si poate fi inlocuit cu o schema echivalenta
de semnal mic ( valabila in curent alternativ ).
-
- Prblemele ASM se impart in doua :
- - de curent continuu care privesc polarizarea tranzistoarelor pentru obtinerea
unui punct de functionare optim si stabil
- - de curent alternativ care privesc parametrii amplificatorului ( amplificari,
impedante de intrare si esire ), comportarea la variatia frecventei semnalului,
stabilitatea, realizarea cuplajului intre etaje.
-
- Pentru calculul de curent alternativ ASM se
reduce la un circuit echivalent liniar de curent alternativ, lucru care se
realizeaza astfel:
- - tranzistoarele ( sau alte elemente neliniare) se inlocuiesc cu una din
schemele echivalente de semnal mic
- - sursele de tensiune continua se considera scurt circuite ( sau se inlocuiesc
cu rezistenta interna atunci cand aceasta nu poate fi neglijata )
- - se iau in considerare doar componentele variabile ale marimilor
-
- Analiza in curent alternativ se face de obicei
pe domenii restranse de frecvente ( joase, medii, inalte) si corespunzator
sunt neglijate unele componente in schema echivalenta. Cele mai utilizate
scheme echivalente pentru tranzistoare sunt prezentate mai jos, unde : a reprezinta
pentru TEC; b reprezinta schema de cuadripol cu parametrii h in conexiune
EC (emitor-colector) pentru tranzistoare bipolare; c schema naturala pentru
tranzistoare bipolare (Giacoletto).

- Schema naturala are unele avantaje fata de
schema cu parametrii h. Ea permite determinarea relativ precisa a parametrilor,
in orice punct de functionare, cu un numar redus de date de catalog si este
valabila pana la frecvente mai ridicate. In majoritatea cazurilor in practica
se folosesc scheme simplificate.
-
- In schema echivalenta pentru TEC, la frecvente
joase si medii se neglijeaza condensatoarele. In schema cu parametrii h, se
considera parametrii reali iar h12e = h22e = 0.
-
- In schema naturala, de frecvente joase si
medii se neglijeaza condensatoarele. La frecvente inalte se utilizeaza asa
numita schema naturala unilateralizata prezentata mai jos. Frecvent se neglijeaza
rx=0 si ro(infinita). Relatiile care permit determinarea paremetrilor schemei
naturale si dau legaturile aproximative cu schema cu parametrii h sunt (pentru
temperatuta ambianta).
-

- b) Amplificatoare elementare
- Amplificatoarele de semnal mic cu tranzistoare
bipolare au la baza schemele echivalente de mai jos. In practica ele sant
completate cu elementele de polarizare si clupaj. Comparatia intre cele doua
variante se poate face printr-o analiza simplificata la frecvente joase sau
medii, calculand parametrii principali.

- Pentru amplificatorul EC ( emitor comun ),
schema echivalenta de semnal mic este cea de mai jos.

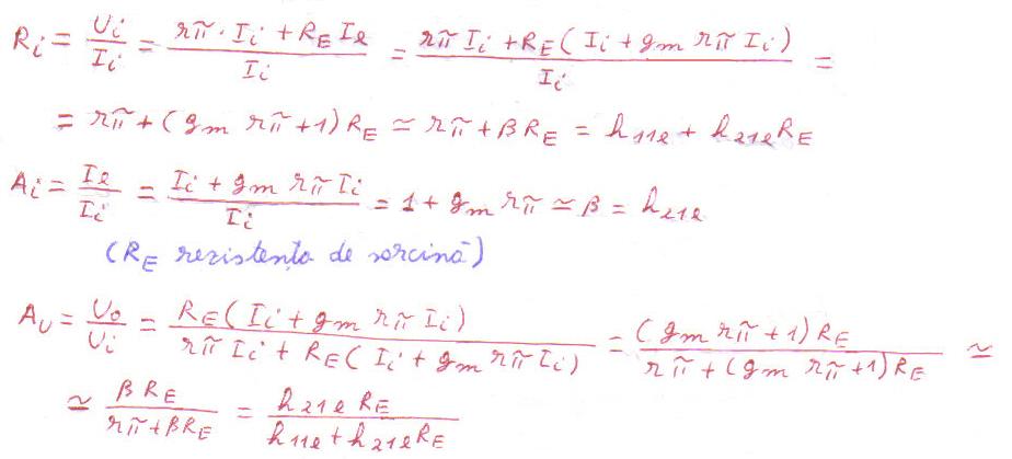
- Pentru conexiunea colector comun ( CC ), schema
echivalenta de semal mic este prezentata mai jos. Daca h11e << h21e,
ceea ce este cazul in majoritatea aplicatiilor practice, atunci Au = 1.

- Pentru aflarea rezistentei de iesire se aplica un generator de tensiune
la bornele de iesire Ut (intrarea fiind in scurtcircuit), rezultand un curent It. Raportul lor va fi
rexistenta de iesire:

- Pentru conexiunea baza comuna (BC), schema echivalenta de semnal mic o gasiti mai jos:

- Dintre cele 3 conexiuni cea mai utilizata in practica
este EC. Ea are cea mai mare amplificare de putere precum si amplificari mari
de tensiune si curent. Tensiunea de iesire este defazata cu 180 de grade fata
de tensiunea de intrare. Rezistenta de intrare este chiar rezistenta de intrare
a tranzistorului (relativ mica), iar rezistenta la iesire este aproximativ egala
cu rezistenta din colector.
-
- Conexiunea CC are in principal avantajele unei rezistente
mari de intrare si a unei rezistente foarte mici de iesire, si este utilizata
la adaptarea unui generator de rezistenta interna mare la o sarcina de valoare
mica. Dezavantajul este amplificarea de tensiune subunitara ( sau aproape 1).
-
- Conexiunea BC are dezavantajul principal in rezistenta
de intrare foarte mica, ceea ce impune necesitatea unui generator de intrare
cu rezistenta interna foarte mica, Are insa un avantaj foarte important, si
anume amplificarea se mentine ridicata pana la frecvente mult mai mari decat
in cazul celorlalte conexiuni. Aceasta conexiune este utilizata in cazul amplificatoarelor
de inalta frecventa.
-
